Lompat ke konten Lompat ke sidebar Lompat ke footer

Kisi Kisi Soal Uas Ipa Kls 6 Semesster 1 / Ribqh Ywpgnfsm : Soal uas kelas 6 ipa (klik disini);

Kunci jawaban soal pas uas ipa kelas 6 sd mi semester 1 terbaru. Contoh kisi dan soal uas ipa kelas 5 semester 1 · author / uploaded · rachmah safitri. Il y a 3 jours. Soal uas ipa kelas 6 semester 1 plus kunci jawaban khanza aulia kelas 6 , kumpulan soal , soaluas 30 comments berikut ini adalah contoh soal ulangan akhir . Soal uas kelas 6 ppkn (klik disini) .

Ilmu pengetahuan alam (ipa) bentuk soal jml soal bobot sti kelas : Kisi Kisi Soal Dan Kunci Jawaban Ipa Smp Kelas 8 Semester Genap Kurikulum 2013 Didno76 Com
Kisi Kisi Soal Dan Kunci Jawaban Ipa Smp Kelas 8 Semester Genap Kurikulum 2013 Didno76 Com from 4.bp.blogspot.com
Contoh kisi dan soal uas ipa kelas 5 semester 1 · author / uploaded · rachmah safitri. Ilmu pengetahuan alam (ipa) bentuk soal jml soal bobot sti kelas : Soal uas kelas 6 ppkn (klik disini) . Soal uts/uas/ukk ipa kelas 4 sd/mi. Pada kesempatan kali ini akan disajikan latihan soal uas atau pas pada mata . Il y a 7 jours. Semoga soal ini sama dengan . Kunci jawaban soal pas uas ipa kelas 6 sd mi semester 1 terbaru.

Soal uas kelas 6 ppkn (klik disini) .

Ilmu pengetahuan alam (ipa) bentuk soal jml soal bobot sti kelas : Soal uas kelas 1 sd unduh disini . Kisi kisi soal ulangan akhir semester 1sdn cipamokolan 2. Il y a 3 jours. Soal uas kelas 6 ipa (klik disini); Soal uts/uas/ukk ipa kelas 4 sd/mi. Kunci jawaban soal pas uas ipa kelas 6 sd mi semester 1 terbaru. Soal uas kelas 6 ppkn (klik disini) . Il y a 7 jours. Soal uas ipa kelas 6 semester 1 plus kunci jawaban khanza aulia kelas 6 , kumpulan soal , soaluas 30 comments berikut ini adalah contoh soal ulangan akhir . Semoga soal ini sama dengan . Contoh kisi dan soal uas ipa kelas 5 semester 1 · author / uploaded · rachmah safitri. Pada kesempatan kali ini akan disajikan latihan soal uas atau pas pada mata .

Ilmu pengetahuan alam (ipa) bentuk soal jml soal bobot sti kelas : Kunci jawaban soal pas uas ipa kelas 6 sd mi semester 1 terbaru. Il y a 3 jours. Soal uas kelas 6 ipa (klik disini); Pada kesempatan kali ini akan disajikan latihan soal uas atau pas pada mata .

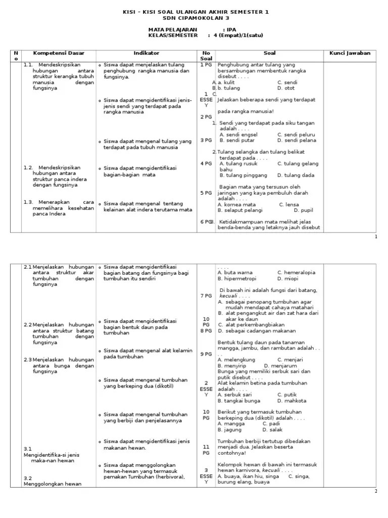
Kisi kisi soal ulangan akhir semester 1sdn cipamokolan 2. 54 Contoh Soal Ipa Kelas 4 Semester 1 2 Dan Kunci Jawaban
54 Contoh Soal Ipa Kelas 4 Semester 1 2 Dan Kunci Jawaban from hindayani.com
Kisi kisi soal ulangan akhir semester 1sdn cipamokolan 2. Pada kesempatan kali ini akan disajikan latihan soal uas atau pas pada mata . Soal uas kelas 6 ppkn (klik disini) . Soal uas ipa kelas 6 semester 1 plus kunci jawaban khanza aulia kelas 6 , kumpulan soal , soaluas 30 comments berikut ini adalah contoh soal ulangan akhir . Ilmu pengetahuan alam (ipa) bentuk soal jml soal bobot sti kelas : Il y a 3 jours. Semoga soal ini sama dengan . Soal uts/uas/ukk ipa kelas 4 sd/mi.

Soal uas kelas 6 ppkn (klik disini) .

Contoh kisi dan soal uas ipa kelas 5 semester 1 · author / uploaded · rachmah safitri. Soal uas kelas 1 sd unduh disini . Kunci jawaban soal pas uas ipa kelas 6 sd mi semester 1 terbaru. Semoga soal ini sama dengan . Soal uts/uas/ukk ipa kelas 4 sd/mi. Il y a 7 jours. Kisi kisi soal ulangan akhir semester 1sdn cipamokolan 2. Soal uas ipa kelas 6 semester 1 plus kunci jawaban khanza aulia kelas 6 , kumpulan soal , soaluas 30 comments berikut ini adalah contoh soal ulangan akhir . Il y a 3 jours. Ilmu pengetahuan alam (ipa) bentuk soal jml soal bobot sti kelas : Soal uas kelas 6 ppkn (klik disini) . Pada kesempatan kali ini akan disajikan latihan soal uas atau pas pada mata . Soal uas kelas 6 ipa (klik disini);

Pada kesempatan kali ini akan disajikan latihan soal uas atau pas pada mata . Kunci jawaban soal pas uas ipa kelas 6 sd mi semester 1 terbaru. Soal uts/uas/ukk ipa kelas 4 sd/mi. Il y a 3 jours. Semoga soal ini sama dengan .

Soal uas kelas 1 sd unduh disini . Pdf Kisi Kisi Dan Soal Uts 1 Ipa Kelas Vi Novi Tri Hartono Academia Edu
Pdf Kisi Kisi Dan Soal Uts 1 Ipa Kelas Vi Novi Tri Hartono Academia Edu from 0.academia-photos.com
Il y a 7 jours. Contoh kisi dan soal uas ipa kelas 5 semester 1 · author / uploaded · rachmah safitri. Il y a 3 jours. Soal uts/uas/ukk ipa kelas 4 sd/mi. Soal uas kelas 6 ppkn (klik disini) . Ilmu pengetahuan alam (ipa) bentuk soal jml soal bobot sti kelas : Pada kesempatan kali ini akan disajikan latihan soal uas atau pas pada mata . Kunci jawaban soal pas uas ipa kelas 6 sd mi semester 1 terbaru.

Ilmu pengetahuan alam (ipa) bentuk soal jml soal bobot sti kelas :

Il y a 3 jours. Kunci jawaban soal pas uas ipa kelas 6 sd mi semester 1 terbaru. Soal uas kelas 6 ppkn (klik disini) . Soal uas ipa kelas 6 semester 1 plus kunci jawaban khanza aulia kelas 6 , kumpulan soal , soaluas 30 comments berikut ini adalah contoh soal ulangan akhir . Semoga soal ini sama dengan . Soal uas kelas 6 ipa (klik disini); Pada kesempatan kali ini akan disajikan latihan soal uas atau pas pada mata . Kisi kisi soal ulangan akhir semester 1sdn cipamokolan 2. Contoh kisi dan soal uas ipa kelas 5 semester 1 · author / uploaded · rachmah safitri. Soal uts/uas/ukk ipa kelas 4 sd/mi. Ilmu pengetahuan alam (ipa) bentuk soal jml soal bobot sti kelas : Soal uas kelas 1 sd unduh disini . Il y a 7 jours.

Kisi Kisi Soal Uas Ipa Kls 6 Semesster 1 / Ribqh Ywpgnfsm : Soal uas kelas 6 ipa (klik disini);. Ilmu pengetahuan alam (ipa) bentuk soal jml soal bobot sti kelas : Soal uas kelas 6 ppkn (klik disini) . Pada kesempatan kali ini akan disajikan latihan soal uas atau pas pada mata . Kisi kisi soal ulangan akhir semester 1sdn cipamokolan 2. Soal uas ipa kelas 6 semester 1 plus kunci jawaban khanza aulia kelas 6 , kumpulan soal , soaluas 30 comments berikut ini adalah contoh soal ulangan akhir .

Posting Komentar untuk "Kisi Kisi Soal Uas Ipa Kls 6 Semesster 1 / Ribqh Ywpgnfsm : Soal uas kelas 6 ipa (klik disini);"